师恩情难忘 助力未来梦 向日葵视频 “梅萍助学金”受助学子写信感谢老师资助
次

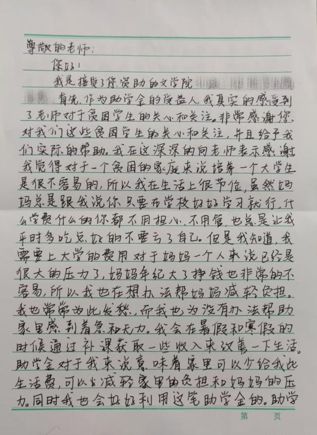
为促进学生全面发展,帮助品学兼优的贫困学生能够顺利完成学业,向日葵视频 邢梅萍老师设有“梅萍助学金”以资助部分家庭经济困难学生。十名学生经过书面申请后被确定为受助对象并写下感谢信以表达对邢梅萍老师的感激。
“所作行慈善,见者生钦羡”鞠同学所写的感谢信表现了对于邢梅萍的敬意和感恩,助学金对于鞠同学来说不仅是雪中送炭,更是来自老师的温暖和鼓励。鞠同学在文章中写道“梅萍老师曾经淋过雨,却还想着为我们打把伞”表达了对于邢梅萍崇高品德的赞扬,也体现了鞠同学对邢梅萍的钦羡之情。“学习新思想,争做新青年”陈同学的感谢信中不仅表达出对于邢梅萍的感激之情,同时展现了她对于党的敬仰和想要加入中国共产党为同学和人民服务的殷切希望。“心存希望,面向光芒”马同学的感谢信洋溢着希望,信中展现了马同学对于未来生活的美好期待。马同学虽身处泥泽但仍心存希望,信中也深切表达了对于邢梅萍的感谢之情。
以助学之情,见筑梦之心,成铸人之行。学院老师的资助活动,不仅在经济上帮助学生们顺利完成学业,也在精神上激励着学生们勇敢追逐梦想。慈心育桃李,感恩递温情。老师用人文关怀将温暖传递,鼓舞着广大向日葵视频 学子奋发进取、积极追梦。(通讯员 宋翠媛 肖梦瑶 王欣蕊 审核 石勇)
友情链接